Enti Rregullator i Ujit, ERRU, ka vendosur rritjen e çmimit të ujit pas kërkesës së dy shoqërive të cilat kanë në administrim 12 njësi apo bashki.
Rritja e çmimit është bërë kryesisht për kategorinë e familjarëve teksa për bizneset dhe institucionet publike nuk janë bërë rishikime me përjashtim të disa rasteve të rralla.
Por cilat janë në fakt dy shoqëritë që kanë aplikuar për rritje çmimi dhe tarifat e reja që do të paguajnë qytetarët pas hyrjes në fuqi të vendimit.
Së pari Shoqëria Rajonale e Ujësjellës-Kanalizimeve Shkodër sh.a e cila ka në mbulim Shkodrën, Vaun e Dejës, Pukën, Fushë Arrzin dhe Malësinë e Madhe.
Për familjarët në Shkodër dhe Vaun e Dejës ka një rritje me 37.5 për qind të çmimit të ujit të pijshëm teksa për bizneset dhe institucionet nuk ka ndryshim. Familjarët do të paguajnë çdo m3 ujë me 55 lekë.
Për Vaun e Dejës rritja e çmimit të ujit është 31 për qind teksa për Fushë Arrëzin kjo rritje është dyfishuar ku nga 20 lekë m3 që paguajnë aktualisht pas hyrjes në fuqi të vendimit tarifa do të jetë 40 lekë/m3 ujë. Për Pukën rritja e çmimit llogaritet në 14.2 për qind ku nga 35 lekë do të paguajnë 40 lekë m3. Këto tarifa do të paguhen nga 1 janari 2025.
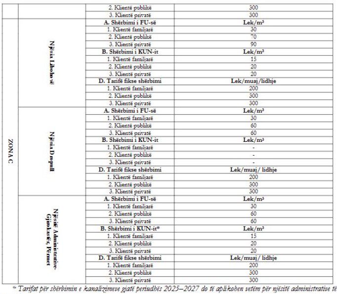
ERRU ka miratuar rishikim të çmimeve edhe për ndërmarrjen rajonale në Gjirokastër. Sipas çmimeve të reja dhe atyre aktuale edhe në këtë rast rritja ka përfshirë kryesisht familjarët.
Konkretisht familjet e Gjirokastrës do të paguajnë një çmim 8.6 për qind më të lartë në raport me çmimin aktual. Sot m3 ujë paguhet 46 lekë ndërsa me çmimin e ri 50 lekë m3. Në Përmet rritja llogaritet në 25 për qind ku nga 40 lekë do të paguajnë 50 lekë m3 ujë.
Në Tepelenë rritja llogaritet në 51.5 për qind dhe po kaq edhe në Memaliaj. Në Këlcyrë rritja është 35 për qind ku ka një rishikim çmimi edhe për institucionet publike me një rritje 20 lekë për m3 ujë në raport me çmimin aktual.
Rritja çmimi edhe pse në nivele më të moderuara aplikohen edhe në Dropull dhe Libohovë. Edhe për këtë ndërmarrje hyrja në fuqi e çmimeve të reja është nga 1 janari 2025./Monitor/




