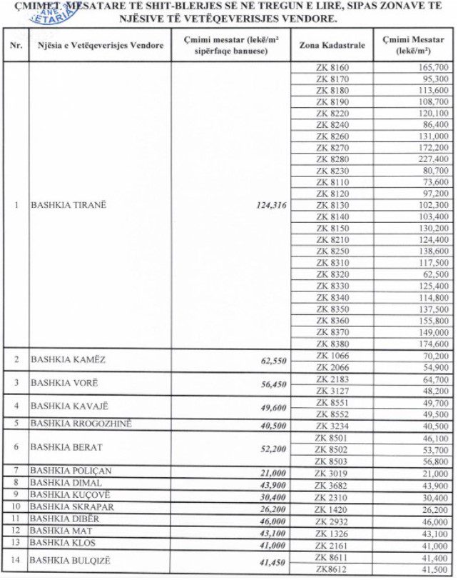
Përllogariten për herë të parë çmimet mesatare të shitjes së banesave për çdo zonë kadastrale të Tiranës, 60 bashkive të tjera dhe 23 njësive administrative në shkallë vendi.
Çmimet mesatare të shitjes së banesave në tregun e lirë janë publikuar në Fletoren Zyrtare, të cilat hyjnë në fuqi pas botimit të urdhrit të ministrit të Ekonomisë, Kulturës dhe Inovacionit.
Enti Kombëtar i Banesave, EKB, sqaroi për Monitor se çmimet të shitjes së banesave të përllogaritura për herë të parë për çdo zonë kadastrale në Republikën e Shqipërisë do të shërbejnë si referencë për të vlerësuar nëse vendoset të blihen banesa apo të ndërtohen banesa sociale në njësitë vendore, si dhe për përcaktimin e kufirit të dhënies se kredive të zbutura nga shteti.
“Çmimet shërbejnë për të vlerësuar, nëse në territorin e ndonjë njësie të vetëqeverisjes vendore është më ekonomike të ndërtosh apo të blesh në treg ndërtesa të gatshme.
Çmimet përdoren si nivel reference në rastet, që vendoset të blihen banesa në tregun e lirë.
Përdoren për të përcaktuar kufirin maksimal të kreditimit, për masën e subvencioneve të interesave të kredisë dhe ndihmon në procedurën e dhënies së kësaj kredie për familje që përfitojnë banesë me kosto të ulët, me kredi të lehtësuar nga shteti”.
Në Tiranë çmimi mesatar i shitjes -blerjes në tregun e lirë është 124,316 lekë për metër katror. Bashkia e Tiranës është e ndarë në disa zona kadastrale për të cilat janë përcaktuar çmimet mesatare.
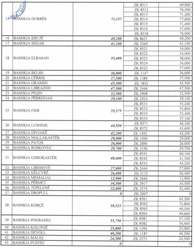
Në bashkinë Durrës çmimi mesatar i shitjes përllogaritet 71,157 lekë për metër katror.
Në bashkinë Vlorë çmimi është përllogaritur 68,680 lekë për metër katror.
Në Sarandë 88,050 lekë për metër katror. Në bashkinë Fier çmimi mesatar i shitjes është 55,375 lekë për metër katror.
Në njësitë administrative, si Farkë është përllogaritur çmimi mesatar 157,000 lekë për metër katror, në Dajt 82,280 lekë për metër katror, në Ishëm 93,000 lekë, në Dhërmi 186,400 lekë etj.
Përllogaritja e çmimeve mesatare të shitjes është mbështetur në metodologjinë e miratuar në udhëzimin nr.1 datë 17.03.2023.
Në metodologji përcaktohet se mesatarja e çmimeve të tregut për çdo zonë kadastrale llogaritet si mesatare aritmetike e të gjitha çmimeve për metër katror. Në llogaritjen e çmimit mesatar përjashtohen nga llogaritja çmimet e grupit të dhjetë (decil) më të lartë, kur mesatarja e çmimeve të këtij grupi është më e lartë 1.3 herë sesa mesatarja e nëntë grupeve të tjera. /Monitor/




